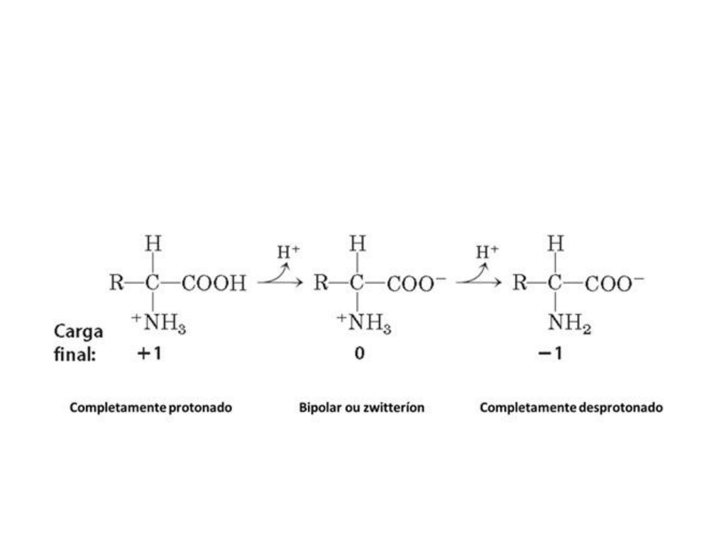
AMINOÁCIDOS E PEPTÍDEOS - A BIOQUÍMICA DAS PROTEÍNAS As proteínas são moléculas feitas de sequências de aminoácidos ligados através de ligações peptídicas. O código genético traduz para 20 aminoácidos diferentes que compõe
image size: 907x960
Bioquímica Básica - Valter T. Mota - boaes_nilton - Página 1 - 374 | PDF Online | PubHTML5
image size: 1272x1800
tm2024520-1_s1 - none - 30.8290815s
image size: 4560x2290
ABC Imaging
image size: 2000x1099
Doenças do Metabolismo de Aminoácidos | Concise Medical Knowledge
image size: 1762x2560
tm2024520-23_424b4 - none - 21.685403s
image size: 4570x6050
Aminoácidos y Péptidos, Universidad de Sevilla | Algor Library
image size: 1440x1080
Ejercicios de Proteínas 2: Análisis y Comportamiento Aminoácidos - Studocu
image size: 1200x1696
Fermento como um chassi para desenvolver ensaios funcionais para estudar p53 humano
image size: 700x1178
APOE genotype confers context-dependent neurovascular vulnerability in immune-vascularized human forebrain organoids | bioRxiv
image size: 1001x1280
Bioquímica Básica - Valter T. Mota - Dos ácidos graxos-ácidos graxos são-Coo coo coo | PubHTML5
image size: 1272x1800
PPT - Aminoácidos e a Ligação Peptídica: a base estrutural das proteínas PowerPoint Presentation - ID:4596698
image size: 1024x768
Grátis: Estudo da fisiologia - Material Claro e Objetivo em PDF para Estudo Rápido
image size: 710x1342
2.3: Moléculas biológicas - Global
image size: 1115x796
Exercícios - Água, PH, Pka, Tampões e Titulação de Aminoácidos | PDF | Solução-tampão | Ph
image size: 768x1024
BIOQUÍMICA - CLASE 3: REPASO DE AMINOÁCIDOS Y pH - Studocu
image size: 1200x1553
L-Valina en polvo | Suplemento de aminoácidos
image size: 1050x1500
FITAMIN-CaB PLUS Cálcio e Boro com aminoácidos livres - (6% Ca - 0,21% B - 5% N ) Dados Técnicos Densidade: 1,26 g/mL pH: 5,2 Natureza física: Fluído/Solução Verdadeira Garantias: Ca sol.
image size: 1949x975
5-Hydroxytryptamine (5-HT) Cellular Sequestration during Chronic Exposure Delays 5-HT3 Receptor Resensitization due to Its Subse
image size: 1116x1600
MEU GUIA PREPARATÓRIO PARA O VESTIBULAR: RESUMO PROTEÍNAS
image size: 928x928
LOS AMINOÁCIDOS – BIOLOGÍA y GEOLOGÍA
image size: 4560x2020
tm2024520-1_s1 - none - 30.8290815s
image size: 1200x1696
Preguntas sobre Aminoácidos y sus Propiedades - Curso de Biología 101 - Studocu